Tabla de Contenidos
Sobre los mitos
Llevo muchos años entrenando y entrenando a gente. ¿Y sabes qué? hay algo que se repite: el misticismo. Seguro que te suenan estas frases:
«Bebe este agua con limón para perder grasa»
«Hay que comer cada 2-3h para crecer»
«El mejor ejercicio para pectoral»
Y como la mayoría de las personas no se pregunta el por qué, tenemos a un montón de gente haciendo el loco en los gimnasios sólo porque se lo ha dicho un tio que esta fuerte y ya está. «Debe funcionar seguro, me lo ha dicho un influencer» ¿o no? 🤪
Pues lo mismo ocurre con las técnicas avanzadas, que es de lo que te vengo a hablar hoy. A diario veo como mucha gente (ab)usa estas técnicas SIN sentido ni lógica. Empeorando sus entrenamientos y por tanto, sus RESULTADOS.
Sobre las técnicas avanzadas
Lo primero que hay que aclarar es que, si tu objetivo es la hipertrofia, y eres un sujeto intermedio o avanzadolas técnicas avanzadas pueden tener cabida en tu plan de entrenamiento PERO recuerda que NO son superiores a las series tradicionales (rectas).
Muchos piensan que son algo especial que te hará mejorar más sólo «por tener un nombre chulo como DROP SET», pero la verdad es que no tiene por qué, los resultados serán los mismos y de hecho si las usas mal vas a progresar MENOS.
Por eso, punto nº1: Debemos implementarlas como un medio para incrementar el volumen de entrenamiento sin aumentar el tiempo efectivo de la sesión. (Korak et al. 2017; 2018) *aunque tienen algún uso más del que ya te hablaré…!
Generalmente se habla más de las 3 que (también a mi) me parecen más interesantes (Rest Pause, DropSet y MyoReps) aunque no son las únicas.
PERO… ¿Cuál es la técnica avanzada que NO deberías aplicar si tu objetivo es la hipertrofia? ¿Y por qué algunos entrenadores lo desconocen?
COMPRENDIENDO LAS SERIES CLUSTER
-
METABOLISMO
En esta intervención. de Nicholson et al. 2019 se vio como las series tipo Cluster inducen significativamente menor fatiga y estrés metabólico que las series tradicionales de hipertrofia. ¡Se produce una disipación de la misma por los propios descansos!
2. FUERZA (RM)
Por otro lado, se vio como, parecen aumentar ligeramente, pero de forma significativa más las ganancias de fuerza que las series «de hipertrofia». Aunque el grupo que realizó 4×6 reps también mejoró en este aspecto significativamente.
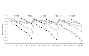
3. VELOCIDAD
Esta misma conclusión se saca de una revisión de Boullosa et al. 2019 donde se ve que la pérdida de velocidad intraserie (intensidad relativa-cercanía al fallo) es mucho menor en las series tipo cluster que en las series tradicionales de hipertrofia.
Además, esta revisión de estudios realizada por Boullosa et al. podemos extraer lo siguiente *traduzco literalmente*:
«Estos estudios demostraron que los Clusters inducen similar o menor hipertrofia que las series tradicionales. Por tanto, los clusters podrían producir hipertrofia, pero no suponen un estímulo superior»
CONCLUSIONES
Por tanto, los CLUSTERS generalmente NO son interesantes cuando nuestro objetivo sea el de maximizar las ganancias de masa muscular por la disipación de la fatiga intraserie que producen. *Siempre y cuando se realicen de forma TRADICIONAL, existe una alternativa para hipertrofia de la que hablaré en otro artículo*
Pero, por otro lado, sí pueden serlo cuando nuestros objetivos el de aumentar nuestra fuerza (como en competidores de halterofilia o Powerlifting) ya que al disipar la fatiga permiten una mayor aplicación de fuerza y un mejor mantenimiento de la técnica lo largo de la serie.
Ahora bien… existe 1 forma de hacerlas de forma adecuada para hipertrofia, ¿te imaginas como? Lo vemos en un segundo artículo sobre el tema.
¡Evita seguir métodos cerrados y pregúntate el porqué de las cosas para mejorar más!








