Tabla de Contenidos
Descansos ACTIVOS y RECUPERACIÓN
“Más volumen es mejor, siempre y cuando podamos recuperarnos de él” Esta frase realmente no es mia, si no de Mike Israetel, y si entendemos como se produce la hipertrofia podemos decir que realmente es cierto.
Pero entonces ¿debemos buscar siempre y a toda cosa recuperarnos mejor? Y en tal caso ¿Cual es LA MEJOR ESTRATEGIA para recuperarse de los entrenos?
Pues, como habrás visto en redes o por los gimnasios el mundo está lleno de Chuck Norris, esos que te dicen «Soy TAN DURO que prefiero quedarme en casa y NO entrenar, que hacer descarga» es decir, ¿gente que presume de ser sedentaria en lugar de entrenar menos intenso o con menor volumen durante 1 o 1/2 microciclo? A nivel personal me parece algo incomprensible
Más aún cuando realmente con la evidencia actual, podemos decir que tanto después de un entrenamiento como en una semana de descarga lo mejor es realizar un DESCANSO ACTIVO, en lugar de un DESCANSO PASIVO.
Estudios y evidencia al respecto:

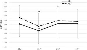
De hecho en este estudio de Bartolomei et al. (2019) se vio como realizando 6 series de 10 repeitciones con SÓLO el 10%RM -es decir actividad pero muy suave- los marcadores y recuperación mejoraron respecto al grupo que realizó un descanso pasivo tanto a las 24h como a las 48h después de entrenar.
No sólo eso, si no que un metaanalisis de Dupuy et al. del año 2018 parece indicar que una recuperación activa ayuda a reducir las agujetas (DOMS). Y además de eso, podríamos considerar que:
• En semanas de descarga, entrenar ligero nos ayudará a movilizar y recuperar mejor los tejidos pasivos (ej. tendones) y articulaciones, al ser tejidos en los que especialmente no contamos con un riego sanguíneo muy alto (como puede ocurrir en los músculos por ej.).
Por lo que realizar movilidad articular activa, paseos largos o simplemente entrenamientos ligeros puede ayudar también a disipar molestias o simplemente estar recuperados antes.
De hecho tenemos bastantes estudios al respecto, como por ejemplo Hinzpeter et al. 2014 donde vieron en nadadores como descansos activos con ejercicios de recuperación fueron superiores a realizar simplemente descanso o Corder et al. 2000 donde pedalear al 25% OBLA fue superior a hacerlo a mayor intensidad (50%OBLA) y a descansar, para recuperarse de un entrenamiento de sentadilla
Por tanto, después de un entrenamiento o en semanas de descarga permanecer activos en lugar de sedentarios nos ayudará a recuperarnos mejor, y poder tolerar más volumen, lo que podría repercutir en mayores ganancias en el largo plazo.
Ahora hablemos más en profundidad de esto:
¿Has oído hablar de lo que es SRA?
Estimulo-Recuperación-Adaptación y entenderla es fundamental para entender cómo funcionan tu cuerpo y los entrenamientos. Una vez entrenamos (estímulo) nuestro rendimiento se verá reducido temporalmente hasta que se complete la recuperación y posterior adaptación con supercompensación y adaptaciones (hipertrofia, fuerza) si lo hemos hecho bien…
De hecho esta es una de las vías por la que los esteroides permiten mejorar más: La mejora del enterno hormonal anabólico además de todos los procesos a nivel celular que contribuyen a un incremento de la hipertrofia, hace que los usuarios de estas sustancias puedan recuperarse antes y mejor, de un mismo estímulo, y por tanto tolerar estímulos mayores (intensidad y volumen) y más veces (frecuencia). Por lo que la mejora también se da a nivel de variables y potencial de entrenamiento, PERO..
¿PERO ENTONCES DEBEMOS RECUPERARNOS ANTES A TODA COSTA?
Parece ser que «no todo vale». Algunos estudios han comparado la respuesta del organismo al aplicar frío o calor. Y parece ser que aunque si es cierto que el rendimiento fue ligeramente superior al aplicar frío (nº repeticiones completadas) el crecimiento muscular parece ser ligeramente atenuado respecto a la aplicación de calor.
Por tanto algunas estrategias de recuperación como la crioterapia, duchas frías y/o aplicación de frío no son la mejor opción, si tu objetivo es la hipertrofia.
Sin embargo, algo interesante podría ser añadir un cardio muy ligero (simplemente caminar) que nos ayudase a recuperarnos antes, sin afectar de forma negativa a este tipo de adaptaciones. Otras formas de descanso activo a parte de meter algo de ligera actividad física, podrían ser desde sesiones de movilidad activa hasta entrenamientos suaves (sesiones de recuperación) en lugar de quedarnos sentados en el sofá.
Esto sí podría hacer que tolerásemos mejor los entrenamientos y añadir así ligeramente mayor volumen, intensidad y/o frecuencia, exprimiendo las ganancias un poquito más en lugar de reduciéndolas.



